Бюджет Полтавщини втратить майже 140 мільйонів гривень податків від підприємств – прогноз

Джерело – financenews.com.ua
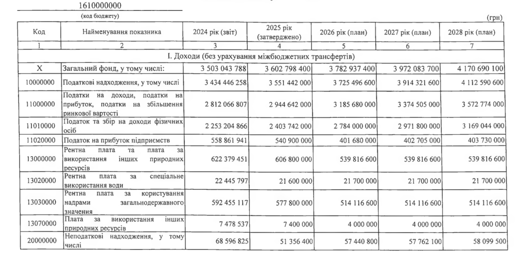
У наступні роки бюджет Полтавщини може втратити майже 137 млн грн податку на прибуток підприємств.
Про це відомо з прогнозу обласного бюджету Полтавської області на 2026-2028 роки. У 2025 році до бюджету Полтавщини очікують отримати 540 млн 900 тис. грн податку на прибутки підприємств. Проте з наступного року прогнозують зменшення обсягів надходжень:
- у 2026 році – 401 млн 680 тис. грн;
- у 2027 році – 402 млн 705 тис. грн;
- у 2028 році – 403 млн 730 тис. грн.
Причиною є скорочення роботи підприємств гірничо-збагачувальної промисловості на Полтавщині. За словами директора Департаменту фінансів Павла Кропивки, у вересні область вперше за рік зіштовхнулася з невиконанням бюджету через проблеми в цій галузі: нестача становить 20 млн грн. Ці дані він озвучив під час комісії в Полтавській міській раді 8 вересня.
З прогнозу обласного бюджету також відомо, що Полтавщина отримуватиме менше рентної плати за використання природних ресурсів та користування надрами.

Нагадаємо, що підприємства Полтавщини заборгували податків на понад 700 млн грн перед місцевими бюджетами.
Підприємства не сплатили до місцевих бюджетів Полтавщини податків на 727,8 млн грн. Від початку року борг зріс на 131,1 млн грн, тобто на 22%.
ЗМІСТ писав, що бізнес сплачує менше податків за користування надрами Полтавщини.
Скорочення податків до бюджету Полтавщини
Останніми роками місцеві бюджети області отримують менше податку за користування надрами від бізнесу.
Цьогоріч рентні платежі зменшилися майже на третину: за січень-квітень надійшли 178 млн грн, що становить 67% від обсягів минулого року за аналогічний період.
За підсумками 2024 року місцеві бюджети Полтавщини отримали 765 млн грн ренти за користування надрами для видобування газу, нафти та газового конденсату. Це менше за планові показники на 195 млн грн або на 20%.
У порівнянні з 2023 роком надходження рентної плати зменшилося на 327 млн грн – майже на 30%.
Торік очільник Департаменту фінансів розповідав, що бізнес почав платити менше податків, але видобуток нафти й газу в області зріс:
«Проти минулого року відставання складає 35%. Річні плани у нас, мабуть, будуть, невиконані, від того, що ми очікували. Причини сказати важко. Повідомляється, що добування зросло, реалізація зросла, а надходження від підприємств до бюджету – [ні]. Обслуговуються вони в офісі великих платників, тому тут причини які… Тут не наша компетенція взагалі. Цих платників контролює не наша податкова, відповідей немає».
З 60 громад Полтавщини 36 отримують до бюджету частину рентної плати за користування надрами. Мільйонні надходження мають 27 громад. ЗМІСТ розповідав про них за посиланням.
Нагадаємо, що Полтавщина стала лідером з видобутку газу.